Scotland wins the World Cup 2019

WorldCupScotlandChampions

The day started with the semi-finals.

In the first semi-final of the day, Scotland easily got the better of the China A team, winning by 4-1. Both Scots, Stephen Maguire and John Higgins, were solid. In particular, their tactical game was far better than their opponent’s. Ding was poor all match. Yan played like he had all week, not badly but rarely finishishing a frame in one visit. It was him though who brought the only consolation to the Chinese fans with a great 126 in the double.

The second second semi-final, saw China B narrowly beat England by 4-3. It was a good match overall. There were mistakes on both sides, but there were some good tactical exchanges and some good breaks too: between them they scored 6 breaks over 50: 69, 84 and 51 for England, 62, 69 and 71 for China B. It was also a long match, leaving barely more than an hour to the winners, China B, to refresh and eat something.

In the evening, Scotland totally dominated the final, beating the China B team by 4-0. In 2015, John Higgins and Stephen Maguire had lost to China B, at the time represented by Zhou Yuelong and Yan Bingtao. They took their revenge …

I can’t help but wonder however, how much the semi-finals schedule took out of Zhou Yuelong and Liang Wenbo. Zhou in particular had played really well all week, but was completely out-of-sorts tonight. Anyway…

Congratulations Team Scotland

And here is the bit everyone has been waiting for 😎 …

World Cup 2019: Scotland – China B (trophy ceremony)

World Cup 2019 – Onto the Final Day

The semi finals tomorrow afternoon in Wuxi will be: China A v Scotland and England v China B. The presence of China B at this stage is probably the only surprise, and it’s not a big surprise really.

The Scotland v Wales contest duly went to a decider. I can’t really comment on the match as I didn’t see a ball of it. From feedback on social media it was a good match.

Indeed I was watching Belgium v China B. I expected Belgium to win this, given how both teams had played so far, but not so. It came to two factors: Ben Mertens – who had been remarkably solid throughout the competition – had a lesser day AND Zhou Yuelong played very well in all departments. Form is not a tap that players can turn on at will; Ben will be disappointed but it’s part of being a sportperson.

China A beat Hong Kong by 4-0, and, again, I can’t comment having not watched the match. It was clear though that Hong Kong was the weakest team remaining in the draw, so this was to be expected to an extend.

England beat Thailand in an entertaining match. It was extremely close from start to finish, good quality overall, but it was also crazy and the Thai will feel a bit aggrieved because England benefitted from two huge flukes at crucial moments. It’s part of the game of course.

So here is what I expect for the semi-finals:

Scotland to beat China A in a decider. Yan Bingtao is still not playing at his best level, although he has shown a lot of resilience and will to win. There is pressure on the China A team from the start, but it will only increase in the final stages.

England to beat China B … unless Liang Wenbo finds his best form. Zhou has been excellent but he can’t do it alone.

Here are some of the most interesting moments of the QF day:

MissingClip 2019 World Cup: Wales (Ryan Day) – Scotland (Stephen Maguire) (final frame)

MissingClip 2019 World Cup: England (Kyren Wilson) – Thailand (Noppon Saengkham) (respotted black battle)

MissingClip 2019 World Cup: England (Kyren Wilson-Jack Lisowski) – Thailand (Thepchaiya Un-Nooh-Noppon Saengkham) (frame 6)

MissingClip 2019 World Cup: England (Jack Lisowski) – Thailand (Thepchaiya Un-Nooh) (final frame)

 

 

 

World Cup 2019 -Quarter Finals Line-up

The group stages came to a conclusion today in Wuxi. The line-up for the quarter finals tomorrow is now set:

World Cup 2019 QF line-up

The teams on the left were the group winners.

All results are on snooker.org

The format will be this: matches will normally be played over 6 frames:

Frame 1 – singles
Frame 2 – singles
Frame 3 – doubles
Frame 4 – singles
Frame 5 – singles
Frame 6 – doubles

Frame 7 – singles (if required): in the event of a tie, the team captains will each nominate a player to play a further one frame to determine the winner of the match.

From what I have seen:

  • Belgium has a good chance to beat China B. Liang Wenbo in particular looks vulnerable.
  • Scotland and Wales are evenly matched. All four players are in decent form. This is a match that could require the 7th extra frame.
  • China A  should beat Hong Kong rather easily.
  • England and Thailand should be close. Kyren Wilson for England and Thepchaiya Un-nooh for Thailand look in good nick. Jack Lisowski (Eng) and Noppon Saengkham (Thai) were a bit inconsistent.

 

World Cup 2019 – How things stand ahead of the last group stage day

Tomorrow we will know the 8 teams that will compete in the quarter finals in Wuxi. Actually, already today, 5 teams are certain to qualify albeit their place in their group can still change.

Group A

China 1 is currently leading this group with 17 points. They can only be caught by Thailand, currently at 12 points. Those teams play each other. China 1 will be first in the group, unless Thailand beat them by 5-0 tomorrow. This is unlikely, but still possible.

Thailand on the other hand is not certain to qualify just yet. Norway, currently on 10 points can still catch them and even get in front of them. Should they find themselves on equal points after tomorrow’s matches, Norway would go through because they have beaten Thailand in the group stage.

The other teams are all on 7 points. Theoretically they all could finish on 12 points. However, should this happen, they still can’t qualify because Thailand beat them all in the group stage.

Group B

The only certainty in this group is that Saudi Arabia is out. Currently England has 14 points, Hong Kong 12, Iran 11, Ireland and Northern Ireland 9. Tomorrow England will play Northern Ireland, Hong Kong will play Iran and Ireland will play Saudi Arabia. If Norther Ireland beats England by 5-0, Iran beats Hong Kong by 3-2 and Ireland beats Saudi Arabia by 5-0 we could have five teams on 14 points! Not sure what would happen then…

Group C

Here the situation is staightforward: Scotland, on 17 points, and Belgium on 16 points are already certain to qualify. None of the other teams can catch them. They will play each other tomorrow and the winner will be first of the group.

Group D 

The situation is similar in Group C: China 2 on 18 points, and Walres on 17 points are aleady qualified. They play each other tomorrow and the winner will top the group.

source snooker.org

World Cup 2019 – two day into the group stage

After two days into the group stages in Wuxi, it’s time to assess the groups stituation.

Mathematically everything is still possible, but in reality a number of clear favourites are already emerging, whilst some other teams have very little actual hope.

Group A:

China A – Ding Junhui and Yan Bingtao – are firmly in front with 8 frames won, despite Yan clearly not being back at his best form, the form he showed during the 2017/18 season. They are followed by a group of nations on 5 and 4 frames won: Austria, Poland, Thailand and Norway. All of them have won one match and lost one. On paper, of these four, Thailand – Noppon Saengkham and Thepchaiya Un-nooh – is the best team. But Noppon isn’t in great form – he has not been since he married last spring – and Theppy can’t do it all alone. I wasn’t expecting much of all-amateur Austria – Andreas Ploner and Florian Nüssle – but they have played quite well.  Germany – Lukas Kleckers and Simon Lichtenberg – have been disappointing.

Group B:

Northern Ireland – Mark Allen and Jordan Brown – and England – Kyren Wilson and Jack Lisowski – are in front with 7 and 6 points respectively. In this group however everything is still possible. On paper in this group, one would have expected England to dominate, with two top 16 professional players in the team. It isn’t the case, mainly because Jack Lisowski has been making far too many mistakes. The young Ka Wai Cheung who plays for Hong Kong has impressed so far. Also when watching Andy Lee playing there in Wuxi, you have to wonder how this guy has only won ONE match against a fellow pro last season.

Group C:

Here we have twop teams on 8 points: Scotland – John Higgins and Stephen Maguire – and Belgium – Luca Brecel and Ben Mertens. Having Scotland there is no surprise, these are two top 16 professionals with loads of experience, including a man, John Higgins, who has been finalist in the last three World Championships. Belgium however is slighly more unexpected, considering that Ben Mertens is only 14, by far the youngest player in the competition and, given that the two “lost” frames were actually lost by Luca. Ben has shown a maturity well beyond his years. Israel comes third and Sachar Ruberg, the amateur in the team, is certainly doing his part of the job. I believe that Scotland will be safe, but Luca has to cut out mistakes if he wants to make sure of Belgium’s spot.

Group D:

Here again we have two teams on 8 points: China B – Liang Wenbo and Zhou Yuelong – and Wales – Mark Williams and Ryan Day. It’s probably what most would expect in this group. However Switzerland Alexander UrsenBacher and Luis Vetter are on 6 points and that’s a good surprise. Luis Vetter might well celebrate his 17th birthday in Wuxi next Saturday. Australia appears to be the weakest team in this group, maybe even in the whole competition. I certainly don’t blame Neil Robertson for opting out of this: he has a long season ahead of him, and a young family. He usually takes advantage of the summer break to visit his family in Australia, and this year he has a recently born baby girl to introduce to them.

Prize Money, cut-off points,main tour 2020/21 admission criteria and more

Worldsnooker has today published a number of interesting documents

Please click the links below for key information for the coming season, including prize money schedules, seeding cut off points and tour qualification criteria.

Click here for the prize money rankings schedule

Click here for the full prize money schedule

Click here for the calendar with cut off points

Click here for the schedule for adding and removing ranking points

Click here for the 2020-21 tour qualifying criteria

Please note that the Paul Hunter Classic will change from a Ranking event to an Invitational Event. Additionally, we are working towards finalising options for both the Indian Open and the European Masters within the tour however these events are subject to contract and cannot be confirmed at this stage.

Let’s have a closer look at two of them:

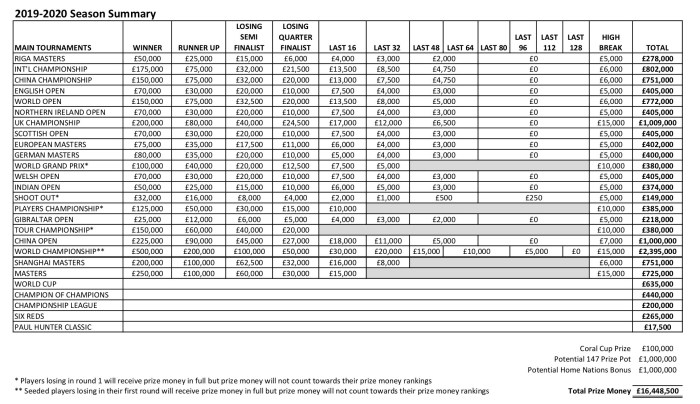
2019:20Prizemoney

The first thing to notice is that, this season, the first round losers in the “Coral Cup” tournaments will no more have their first round money counting towards their ranking. This is consistent with what happens at the World Championship and it’s only correct.

The next thing is that, with the Riga Masters offering £50000 for the winner, the Gibraltar Open £25000 and the European Masters £75000 but not being confirmed at this stage, the European leg of the Main Tour is really not attractive to the top players. That leg is slowly disintegrating IMO. Barry Hearn always goes on about it being up to the sponsors to put the right money on the table if they want the best tournaments. I have said this often, but I will say it once again: the strong association between snooker and the betting industry is a repellent to high profile European sponsors. It’s not in our culture. The gambling industry is seen as a very shady business and not one they want to be associated with. And Barry Hearn should really think hard and long about where he’s leading snooker in UK/Europe. He’s putting all his eggs in one basket and it’s a stinking basket. For those who think that gambling is innocuous they really should read this article: https://www.itv.com/news/2019-06-23/nhs-gambling-addiction-service-for-children-launched/ It won’t be long before gambling and betting adds will be much more strongly regulated in the UK/Ireland, and in the rest of Europe if/where they aren’t already. Does he want a repeat of the “tobacco sponsoring” disaster? Doesn’t he see it’s coming? If it does happen then basically, snooker will move to China, where sponsors are dictated by the authorities and rich prize money is made available.

Regarding prize money … the Paul Hunter Classic, now an invitational, gets a TOTAL funding of only £17500. This is really a sad joke. By making it ranking, and incorporating in the main tour, WS killed the spirit of what was once the best pro-am in the season, a real festival of snooker celebrated by pros, amateurs and fans. Now with this ridiculous funding, they are simply killing it for good.

Finally the £1000000 prizes for the 147 pot and for the “All Home Nations Winner”  are a nice way to inflate the “total” prize money available but both are very unlikely to be ever paid. That’s more than 12% of the total prize money “alledgedly” available …

The other interesting document is this one

2020:21MainTourCriteria

The first thing to notice is that there will be only 4 spots for the “one year list” instead of 8. Where are those 4 tour cards gone?

Well, two of them go for the Asian Q-school. So, there will be an Asian Q-School, which is good, but it will yield only two tour cards, which IMO is poor. If I count correctly – based on this article by World Snooker – there are currently 33 Asian players on the main tour. That’s more than 1 in 4. And 13 out of 18 of the teenagers on tour are Asian. It seems to me that the Asian Q-School shoud get at least 3 spots, preferably 4. I’m sure that I will be told that the young Asian players have the opportunity to compete in the UK/European leg. True, but at a serious cost. This year none of the Thai players could afford it. And, I’m sure, that UK/European players will be able to compete in the Asian Q-school if they so wish. So that’s not a valid reason to justify the discrepancy.

Two more spots go the WSF Champions. I want to be optimistic and see this as a sign that WSF will be back on track. Time will tell.

Finally, regarding the calendar, there are three “potential/possible ranking events” foreseen, two of them being the European Masters and the Indian Open. Although there is provision for the Championship League Snooker money in the above document, that comp is nowhere to be seen in the current calendar. I would be very surprised though if the most profitable event (for the bookies) was to disappear. So it’s absence from the current calendar only means one thing: a scheduling nightmare mid season.

Reanne Evans is the Women World Champion 2019 …it’s her n° 12!

Reanne Evans won the Women World Championship 2019, beating Nutcharut Wongharuthai by 6-3 in Bangkog yesterday evening. Here is the report by WPBSA.

Evans Wins Record 12th World Championship Title

  • 23rd June 2019

England’s Reanne Evans has won the World Women’s Snooker Championship for a record-extending 12th time following a 6-3 victory against Thailand’s Nutcharut Wongharuthai in Bangkok this evening.

The world number one has had to watch Hong Kong’s Ng On Yee lift the trophy during each of the past two years since her last success in 2016 but this time was not to be denied as she emerged from a high-quality international field of 53 players to reclaim the biggest title in women’s snooker.

The final proved to be a high-quality affair, 19-year-old Wongharuthai taking the opening frame with a break of 61 before Evans claimed the next two to hit the front.

The following two frames were shared to give Evans a 3-2 lead at the mid-session interval, before the Dudley star added the sixth to move two clear for the first time.

Back came Wongharuthai with a break of 56 but it was Evans who was to finish in style, a tournament-high run of 92 enough to secure the high break prize before she claimed what would prove to be the final frame with a run of 43 to seal the title.

“It feels pretty good!” said a thrilled Evans shortly after the final. “It has been a long time coming after my 11th and it does mean more after losing during the past two years. I had such a good run [winning the title 10 years in a row from 2005-2014] but it obviously has been frustrating and gutting for that to end and to have lost a bit of confidence.

“The final was really tight all the way through. I was a little bit edgy at the start but I still felt good and towards the end I felt even better, I wasn’t letting it go this year.”

Despite her loss in today’s final, Evans was impressed by her young opponent who continues to show improvement in her game.

“You can tell her shot selection is getting better,” added Evans. “Her technique is brilliant, she is a lovely person and her temperament is great. She laughs everything off and just gets on with it, that’s the right way to be.”

Evans reflected on what has been a fantastic week for women’s snooker which saw the staging of the inaugural Women’s Snooker World Cup and the biggest World Championship for a generation with players having travelled from 14 different countries to compete.

“I’m really happy because the standard has been so good here this year,” continued Dudley’s Evans. “It could have been anyone winning it from the quarter-finals stage and fingers crossed that these players will keep competing and inspire others to play. I’m just happy to win against all the youngsters now, they are so attacking. A few shot selections have let them down but that’s about it and that comes with experience.

“The tournament has been amazing, one of the best ones ever. The facilities have been top class, the hospitality has been fantastic, it has been well-run and all the people have been brilliant. It has also been amazing to have so many matches streamed live which will only add to the interest in women’s snooker.”

Earlier in the day Evans came through a tough semi-final contest against another Thai player Baipat Siripaporn winning 5-3, while Wongharuthai ended the challenge of 12-time European champion Wendy Jans 5-2.

The victory represents a sixth ranking event title success of the season for Evans and extends a streak dating back to her maiden title in 2005 of the World Women’s Snooker Championship being won by her and three-time champion Ng On Yee.

There was victory for Hong Kong in the Challenge Cup event for players who did not make it to the knockout rounds of the main competition as So Man Yan defeated India’s Chitra Magimairaj 3-2 in the final.

Congratulations Reanne!

As for Mink, she did herself and her country proud. She’s only 19 and is improving rapidly. She has been working with Stuart Pettman over the last months and it pays off. Stuart Pettman is a former pro. He never was a top player, but he certainly wasn’t a numpty either. When he left the main tour, he wrote a book: “Stuart Pettman: As Sometimes Seen on TV”. It’s one of the best snooker books I ever read. It’s a bitter-sweet insight in the life of a journeyman on the tour. Here is the review Matt Huart did at the time. I’m not sure if the book is still available, via Matt or otherwise.

It was an enjoyable competition to watch, with an excellent coverage. The level is rapidly improving on the Women circuit. The whole organisation was fantastic and the owner of the club should be proud. He came on social media with this:

I am grateful that I am being a manager here at the Hi End Snooker Club Thailand because it gives me a chance to meet you I wish you all the best for all that you do and would like to say thank you for making this possible.

Hope to see you again soon for the next World Championship Tournament.
Thank you very much.

Sawaddee krub🙏🏻 Hi-End Team

Well done Gappa Gappa! 

You will find all the detailed results on snookerscores

All the pictures taken during the final are here, available on Facebook